鉅大鋰電 | 點擊量:0次 | 2018年07月11日
簡述深度剖析鋰電漿料特性和分散機理
一、鋰電池漿料和傳統分散工藝
1.1,鋰電池漿料的特性
鋰離子電池漿料是由多種不同比重、不同粒度的原料組成,又是固-液相混合分散,形成的漿料屬于非牛頓流體。鋰離子電池漿料是一種像油狀的流動的液體,所以具有一般流體所具有的特征如粘性、流動性等,同時因為電池漿料是一種液固兩相流,所以還具有一些自身特殊的性能。
1.1.1,鋰離子電池漿料流變性
流變性是指物質在外力作用下的變形和流動性質。由于液體不能承受剪切力,因而不能保持其外形的穩定。在外力的作用下,液體就會發生流動和變形等的性質,稱為流變性。漿體的流變性十分復雜.一種漿體在低濃度時可能表現為牛頓流體或假塑性流體;濃度稍高產生絮團后,可能表現為賓漢流體;更高的濃度下又可能會出現脹塑性流體。
對同—種漿料,在剪切率不太高時,不出現脹流現象,剪切率高時又可能轉化為脹塑性流體。有些非牛頓流體在低剪切速率和高剪切速率下都可能呈現牛頓流體形象,這可能是因為在低剪切速率下,分子的無規則熱運動占優勢,體現不出剪切速率對其中物料重新排列使表觀粘度的變化,當剪切速率增高到一定限度后,剪切定向達到了最佳程度,因而也使表觀粘度不隨剪切速率而變。如前所述,許多非牛頓體其流變特性受到體系中結構變化的影響。
影響鋰離子電池漿料流變性的一些主要參數:
(1)分散相或固相的類型及表面電荷的大小
對于不同種類的正負極活性物質,如正極常用的鈷酸鋰、錳酸鋰,負極常用的石墨粉、中間相炭微球,由于其種類不同,因而具有不同的水化膨脹特性以及不同的表面電荷,這樣,不同種類的活性物質其分散特性、膠溶特性以及形成具有一定強度的結構體系的能力也各不相同,其宏觀表現是不同種類的活性物質配制而成的漿料具有不同的流變特性。
(2)固相的濃度
分散相或固相濃度的大小主要影響漿料的屈服應力和塑性粘度或表觀粘度。在一般槽況下,固相濃度越大,其屈服應力、塑性粘度或表觀粘度越大。
(3)固相顆位的大小、形狀以及粒徑的分布
在固相濃度不變的條件下,顆粒的粒徑越小,由于其總的表面積增加,因而漿料的屈服應力和粘度將隨之增加。
(4)分散介質本身的粘度。
不同的溶劑具有不同的粘度,使得漿料的粘度也將隨之變化。
(5)溫度和壓力。
在不同的溫度和壓力下漿料具有不同的流變特性。
(6)漿料的PH值。
1.1.2,鋰離子電池漿料觸變性
觸變性是指流體在剪切力作用下的一種結構破壞與恢復原有結構的效應。描述鋰離子電池漿料的觸變性主要包括觸變的最后效果和觸變過程,觸變過程是指在一定的條件下鋰離子電池漿料中的膠鏈結構隨時間的破壞和恢復過程,它反映了觸變性的時間效應。觸變的最后效果是指在一定實驗條件下達到穩定時的最大觸變量。這里所說的達到穩定是指漿料內的結構破壞與恢復的一種動態平衡,而其宏觀表現則為鋰離子電池漿料剪切應力的固定不變,亦即剪切應力具有不隨時間而變化的穩定數值。
1.1.3,分散效果對鋰離子電池漿料的影響
混合分散工藝在鋰離子電池的整個生產工藝中對產品的品質影響度大于30%,是整個生產工藝中最重要的環節。鋰離子電池的電極制造,正極漿料由粘合劑、導電劑、正極材料等組成;負極漿料則由粘合劑、石墨碳粉等組成。正、負極漿料的制備都包括了液體與液體、液體與固體物料之間的相互混合、溶解、分散等一系列工藝過程,而且在這個過程中都伴隨著溫度、粘度、環境等變化。在正、負極漿料中,顆粒狀活性物質的分散性和均勻性直接響到鋰離子在電池兩極間的運動,因此在鋰離子電池生產中各極片材料的漿料的混合分散至關重要,漿料分散質量的好壞,直接影響到后續鋰離子電池生產的質量及其產品的性能。
1.2,鋰離子電池漿料分散機理
1.2.1,漿料穩定性理論
大部分的漿料都是屬于懸浮液體系。不穩定的懸浮液在靜止狀態下發生絮凝,并由于重力作用而很快分層,分散的目的就是要在產品的有效期內抗絮凝、防止分層,維持懸浮顆粒的均勻分布,提高產品的穩定性。
1.2.1.1,懸浮液的絮凝理論
絮凝作用即是在靜態(由于布朗運動)或動態(在剪切力作用下條件下,通過顆粒碰撞引起顆粒數目減少的過程。膠體系統中,如不考慮穩定劑,顆粒間的相互作用主要有范德華(VanderWaals)引力;伴隨著帶電顆粒的庫侖(Coulombic)力(斥力或引力)。這些力的起因截然不同,Derjaguin和Landau在蘇聯,Verwey和Overbeek在荷蘭分別獨立的提出DLVO理論,構成了親液分散體系中絮凝作用經典理論的基礎,闡述了膠體懸浮體系的穩定性主要與膠體顆粒間上述兩個獨立的相互作用的相對距離有關。
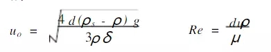
1.2.1.2,懸浮液的分層理論
分層是分散相在外力(重力或離心力)作用下,在連續相中上浮或下沉的結果。在忽略布朗運動效應的靜態條件下,可用Stokes定律來描述,即分散相球形顆粒由于重力的沉降速度u0由下式確定:

式中ρs-ρ為分散相與連續相的密度差,g為重力加速度,d為分散相顆粒直徑,μ為連續相的粘度。如果分散相顆粒的密度比連續相密度大,顆粒下沉,速度uo為正值,反之,顆粒上浮,速度為負值。沉降速度大,漿料就容易分層。如果要保持體系穩定,就必須降低沉降速度,對于特定的漿料可以通過減小分散相固體顆粒直徑d。因為只有當粒徑減至連續相液體分子大小時,顆粒才能穩定、均勻地分散在液體中不發生分離。
通過以上的分析我們可以看出,要提高懸浮液的穩定性,分散相顆粒的粒徑應盡量細小。但應該指出,根據前人所做的大量研究發現,隨著顆粒粒度的減小,雖然顆粒由重力引起的分離作用變為次要的因素,但是由于顆粒之間的間距減小,顆粒之間的結合力(范德華力等)起到了重要決定性作用。另外,當顆粒直徑小于某一細小尺寸時,此時,顆粒的布朗運動效應就不能忽略了,所以由于細小顆粒的布朗運動,而使得顆粒之間產生激烈地碰撞。若不加穩定劑,這些情況都會導致顆粒團聚,對體系的穩定是不利的。所以漿料的分散中,顆粒粒徑并非越細越好,要視漿料的特性而定。分散就是要根據物料的特性與特點,減小分散相顆粒的粒度,使其分布于一個較窄的尺寸范圍,并達到吸力與斥力的相互平衡,從而保證漿料體系的穩定。
1.2.2,團聚與分散的關系
漿料的團聚是指原生的微細顆粒在制備、分散及存放過程中,相互連接、由多個顆粒形成較大的顆粒團簇的現象。
顆粒在液相介質中表現為分散和團聚兩種基本的行為。顆粒在液體介質中的團聚是吸附與排斥共同作用的結果,其根源是顆粒間的相互作用力。在懸濁液體系中,粉體顆粒的團聚是吸附和排斥共同作用的結果。如果吸附作用大于排斥作用,粉體顆粒團聚;如果吸附作用小于排斥作用,粉體顆粒則分散。在液體介質中,粉體顆粒受力情況較復雜,不僅有像范德華力、靜電力、表面張力、毛細管力等產生團聚的吸引力,而且在粒子的表面,還會產生雙電層靜電作用、溶劑化膜作用、聚合物吸附層的空間保護作用等使納米顆粒趨向于分散的斥力作用。
顆粒在介質中的穩定分散一般包括以下過程:潤濕、機械分散及分散穩定。潤濕通常指顆粒與顆粒之間的界面被顆粒與溶劑、分散劑等界面所取代的過程。機械分散是利用剪切力將大量顆粒細化、使團聚體解聚、被潤濕、包裹吸附的過程。分散穩定是指將原生粒子或較小的團聚體在靜電斥力、空間位阻斥力作用下來屏蔽范德華引力,使顆粒不再聚集的過程。團聚體分散解聚的直接原因是受到剪切力和壓力的作用,剪切力在分散過程中起到了決定性的作用。
1.2.3,團聚體變形與破裂
在研究流動性質隨時間和應力的變化時,一般要考察顆粒的結合與破裂。研究發現,無論是顆粒的結合所必須得碰撞,還是多顆粒團的破壞,都與顆粒大小有緊密的函數關系,也就是說,顆粒大小是影響流變和穩定性的一個關鍵因素。
在層流狀態下,流體中的物料團聚體受層流剪切力作用。不考慮團聚體的重力作用,物料團聚體受剪切力t的作用與表面張力的作用。剪切作用的切向分力的作用效果是使團聚體發生旋轉的主要原因,而法向分力和表面張力則在團聚體的內部分別產生壓差,這兩種壓差綜合作用的結果就是使團聚體的內部產生變形,在其原有裂紋的區域上就會產生應力集中,并最終導致團聚體的破碎與分散,分解成更小尺寸級別的顆粒。
在湍流狀態下,流場的變化非常迅速,且存在著固體分散相與液體連續相之間的相互作用,例如由于固體相對液體相湍流具有的阻尼作用,使其脈動強度降低,流場中流動情況相當復雜。所以為了簡化起見,在假定湍流是均勻的,并且是各向同性的基礎上,認為液滴的破裂由湍流的脈動效應所引起的。在這種情況下,液滴受到的粘性剪切應力可忽略,若兩相粘度和密度相差比較小,則在液滴表面將會產生振動,振動將會使其形狀相對于平衡的球形而發生變化,當變化的程度足夠大時,液滴就會不穩定,破裂成兩個或更多的小液滴,條件是液滴振動的動能足以提供破裂后所增加的表面能。
1.3,漿料傳統混合分散工藝
混合分散工藝在鋰離子電池的整個生產工藝中對產品的品質影響度大于30%,是整個生產工藝中最重要的環節。鋰離子電池的電極制造,正極漿料由粘合劑、導電劑、正極材料等組成;負極漿料則由粘合劑、石墨碳粉等組成。正、負極漿料的制備都包括了液體與液體、液體與固體物料之間的相互混合、溶解、分散等一系列工藝過程,而且在這個過程中都伴隨著溫度、粘度、環境等變化。在正、負極漿料中,顆粒狀活性物質的分散性和均勻性直接響到鋰離子在電池兩極間的運動,因此在鋰離子電池生產中各極片材料的漿料的混合分散至關重要,漿料分散質量的好壞,直接影響到后續鋰離子電池生產的質量及其產品的性能。
目前傳統的鋰離子電池漿料的制備都是在雙行星分散設備中完成的。盡管目前在小型電池生產技術上已日趨成熟,但目前鋰離子電池的生產過程中,電池的一致性控制仍然是鋰離子電池制作的技術難點,尤其是對于大容量、大功率的動力型鋰離子電池。另外,隨著鋰離子電池材料的不斷進步,原材料顆粒粒徑越來越小,這不僅提高了鋰離子電池性能,也非常容易形成二級團聚體,從而增加了混合分散工藝的難度。
1.3.1,正極漿料的制備(以鈷酸鋰為例)
正極漿料的制備過程實際上是將漿料中的各種組成按標準比例混合分散在一起,調制成漿料,以利于均勻涂布,保證極片的均勻一致性。正極制漿主要包括五個步驟,即原料的預處理、摻和、浸濕、分散和稀釋。
(1)原料的物理性能
a.鈷酸鋰:非極性物質,不規則形狀,粒徑D50一般為6~8μm,含水量≤0.2%,通常為堿性,pH值為10~11。錳酸鋰:非極性物質,不規則形狀,粒徑D50一般為5~7微米含水量≤0.2%,通常為堿性,PH值為8左右。
b.導電劑:非極性物質,葡萄鏈狀物,吸油值約為300,粒徑一般為2~5μm;主要有普通炭黑、超導炭黑、石墨乳等,在大批量應用時一般選擇超導炭黑和石墨乳復配,通常為中性。
c.PVDF粘合劑:非極性物質,鏈狀物,其分子量為300,000~1,000,000不等,吸水后分子量下降,黏性變差。
d.NMP(N-甲基吡咯烷酮):弱極性液體,用于溶解/溶脹PVDF,同時作為溶劑稀釋漿料。
(2)原料的預處理
a.鈷酸鋰:脫水,一般用120℃常壓烘烤2小時左右。
b.導電劑:脫水,一般用200℃常壓烘烤2小時左右。
c.粘合劑:脫水,一般用120~140℃常壓烘烤2小時左右,烘烤溫度視分子量的大小決定。
d.NMP:脫水,使用干燥分子篩脫水或采用特殊取料設施,直接使用。
(3)原料的摻和
a.粘合劑的溶解(按標準濃度)及熱處理。
b.鈷酸鋰和導電劑球磨:使粉料初步混合,鈷酸鋰和導電劑粘合在一起,提高團聚作用和的導電性。配成漿料后不會單獨分布于粘合劑中,球磨時間一般為2小時左右;為避免混入雜質,通常使用瑪瑙球作為球磨介子。
(4)粉體的分散和浸濕
固體粉末放置在空氣中,隨著時間的推移,將會吸附部分空氣在固體的表面上,液體粘合劑加入后,液體與氣體開始爭奪固體表面;如果固體與氣體吸附力比與液體的吸附力強,液體不能浸濕固體;如果固體與液體吸附力比與氣體的吸附力強,液體可以浸濕固體,將氣體擠出。當潤濕角≤90度,固體浸濕。當潤濕角>90度,固體不浸濕。正極材料中的所有組員都能被粘合劑溶液浸濕,所以正極粉料分散相對容易。分散方法對分散的影響:靜置法(時間長,效果差,但不損傷材料的原有結構);攪拌法:自轉或自轉加公轉(時間短,效果佳,但有可能損傷個別材料的自身結構)。
影響混合分散過程的主要參數有:
1、攪拌速度對分散速度的影響。一般說來攪拌速度越高,分散速度越快,但對材料自身結構和對設備的損傷就越大。
2、濃度對分散速度和粘結強度的影響。通常情況下漿料濃度越小,分散速度越快,但太稀將導致材料的浪費和漿料沉淀的加重。濃度越大,柔制強度越大,粘接強度越大;濃度越低,粘接強度越小。
3、真空度對分散速度的影響。高真空度有利于材料縫隙和表面的氣體排出,降低液體吸附難度;材料在完全失重或重力減小的情況下分散均勻的難度將大大降低。
4、溫度對分散速度的影響。適宜的溫度下,漿料流動性好、易分散。太熱漿料容易結皮,太冷漿料的流動性將大打折扣。
(5)稀釋
加入溶劑將漿料調整為合適的濃度,便于涂布。
1.3.2,負極漿料(以石墨為例)的制備
負極漿料的制備大致與正極制漿的步驟相同。
(1)原料的物理性能
a.石墨:非極性物質,易被非極性物質污染,易在非極性物質中分散;不易吸水,也不易在水中分散。被污染的石墨,在水中分散后,容易重新團聚。一般粒徑D50為20μm左右。顆粒形狀多樣且多不規則,主要有球形、片狀、纖維狀等。
b.水性粘合劑(SBR):小分子線性鏈狀乳液,極易溶于水和極性溶劑。
c.防沉淀劑(CMC):高分子化合物,易溶于水和極性溶劑。
d.異丙醇:弱極性物質,加入后可減小粘合劑溶液的極性,提高石墨和粘合劑溶液的相容性;具有強烈的消泡作用;易催化粘合劑網狀交鏈,提高粘結強度。乙醇:弱極性物質,加入后可減小粘合劑溶液的極性,提高石墨和粘合劑溶液的相容性;具有強烈的消泡作用;易催化粘合劑線性交鏈,提高粘結強度。
e.去離子水(或蒸餾水):稀釋劑,酌量添加,改變漿料的流動性。
(2)原料的預處理
a.石墨:經過混合,使原料均勻化,提高一致性,然后在300~400℃常壓烘烤,除去表面油性物質,提高與水性粘合劑的相容能力,修圓石墨表面棱角(有些材料為保持表面特性,不允許烘烤,否則效能降低)。
b.水性粘合劑:適當稀釋,提高分散能力。
(3)摻和、浸濕和分散
a.石墨與粘合劑溶液極性不同,不易分散。
b.可先用醇水溶液將石墨初步潤濕,再與粘合劑溶液混合。
c.應適當降低攪拌濃度,提高分散性。
d.分散過程為減少極性物與非極性物距離,提高勢能或表面能,所以為吸熱反應,攪拌時總體溫度有所下降。如條件允許應該適當升高攪拌溫度,使吸熱變得容易,同時提高流動性,降低分散難度。
e.攪拌過程如加入真空脫氣過程,排除氣體,促進固-液吸附,效果更佳。
(4)稀釋
加入溶劑將漿料調整為合適的濃度,便于涂布。
1.3.3,傳統分散工藝面臨的問題
(1)根據傳統工藝中的葉輪剪切/循環特性,可以把葉輪的作用分為兩大類,第一類是對葉輪附近產生的剪切作用;第二類則是通過葉輪泵出的流量產生循環作用。漿體的進一步分散作用主要依靠葉輪的剪切作用,而葉輪的流量決定了葉輪的分散的能力。而在離葉輪端部較遠的區域,總會存在一層漿料始終停滯不動,這個區域也就是人們常說的“死區”,分散設備的工作區域越大,而且漿料黏度越高,“死區”的問題就越突出,就算采用不同的葉輪和結構,死區仍然難以避免,因此在鋰離子電池漿料的制備過程中,所制得的漿料產品就會出現混合分散不均勻、粉體顆粒與粘合劑接觸不均勻、易分層和發生硬性沉淀等一系列問題。
(2)在操作過程中雙行星攪拌也會遇到諸多問題:
1.批次分散工藝,混合分散時間長,能量消耗大。
2.電極粉末材料由行星攪拌器頂部加入,粉塵容易飛揚、漂浮。更重要的是粉末與液相混合極易發生團聚。
3.物料易殘留于行星攪拌器的罐蓋、罐壁及攪拌槳上,清洗操作困難。
4.空氣易存留于分散混合罐,氣泡的產生影響分散效果。
5.批次工藝致使量產受到限制,生產線占地面的大,維護成本高。
二,高剪切設備在電池漿料分散過程中的應用
鋰離子電池漿料的混合分散過程可以分為宏觀混合過程和微觀分散過程,這兩個過程始終都會伴隨著鋰離子電池漿料制備的整個過程。把雙行星分散設備作為宏觀混合單元溶入到鋰離子電池漿料快速分散系統之中,把超剪切分散裝置作為微觀分散控制單元,這將會大大提高了鋰離子電池漿料的分散效果和效率。
2.1,高剪切分散機理
在高剪切分散設備中,作用于液體的能量一般相當集中,這樣可以使液體收到高能量密度的作用。引入能量的類型和強度必須足以使分散相顆粒有效地均勻分散。分散均勻的本質是使物料中分散相(固體顆粒、液滴等)受流體力學上的剪切作用和壓力作用破碎并分散。
液體物料分散系中固分散相顆粒或液滴破碎分散的直接原因是受到剪切力和壓力的共同作用。引起剪切力和壓力作用的具體流體力學效應主要有三種,它們分別是層流效應、湍流效應和空穴效應。
層流效應的作用是引起固體分散相顆粒或液滴的剪切和拉長,湍流效應的作用是在壓力波動作用下引起固體分散相顆粒或液滴的隨意變形,而空穴效應的作用則是使形成的小氣泡瞬間破滅產生沖擊波,而引起劇烈攪動。綜上所述,超剪切分散設備內物料的分散機理比較復雜,主要是以剪切作用起主導作用,而以其他作用為輔。漿體物料在高頻壓力波的作用下產生反復的壓縮效應,同時又受到超剪切分散設備內窄小間隙內的剪切力和回旋剪切力的強烈作用,如此綜合反復的作用,被處理的漿料產生強烈的分散和粉碎作用,最終達到快速超細分散的目的。
2.2,高剪切設備用于鋰電漿料的分散
高剪切設備可用于電芯正極或負極,油性或水性漿料的分散乳化(油性漿料的粘結劑為PVDF溶劑為NMP,水性漿料的粘結劑為SBR+CMC溶劑為水,有時水性負極漿料也會添加少量NMP是為了增加SBR,CMC,水,石墨之間的相容性,對改善粘輥是非常有效的,許多電池發生輥壓粘輥時都是采用加NMP的方法,一般占固體的5%,或漿料總重量的2%左右)
高剪切分散可有以下兩種方式:
一為在雙行星攪拌預混后添加高剪切設備把漿料中顆粒團聚進行破碎,細化和對粒徑分布范圍進行收縮,提高漿料的分散性和均一性。部分廠家儲能電池漿料的生產也會用到膠體磨,相對于動力電池,儲能電池對漿料的要求相對較低。
二是用粉液混合機代替雙行星進行漿料的初步混合,混合機的喂料可以通過在機器入口處安裝的漏斗來進行一定順序的加入。粉體喂料時可以完全手動,也可以選擇半自動或全自動操作,同時也可以選擇輸送機、氣動裝貨設備或是其他的傳輸設備。儲料罐中的刮邊攪拌機一方面是對固含量不斷提高的漿料進行均勻,另一方面可以加速漿料的流動,以提高分散效率,節省循環的時間。
上一篇:探討氫燃料電池車能否笑到最后










